Study Reveals Failure of Key Quark-gluon Plasma Probe in Low-Energy Region
According to theoretical predictions, within a millionth of a second after the Big Bang, nucleons had not yet formed, and matter existed as a hot, dense "soup" composed of freely moving quarks and gluons. This state of matter is known as Quark-Gluon Plasma (QGP). Searching for definitive evidence for the existence of QGP is crucial for understanding cosmic evolution.
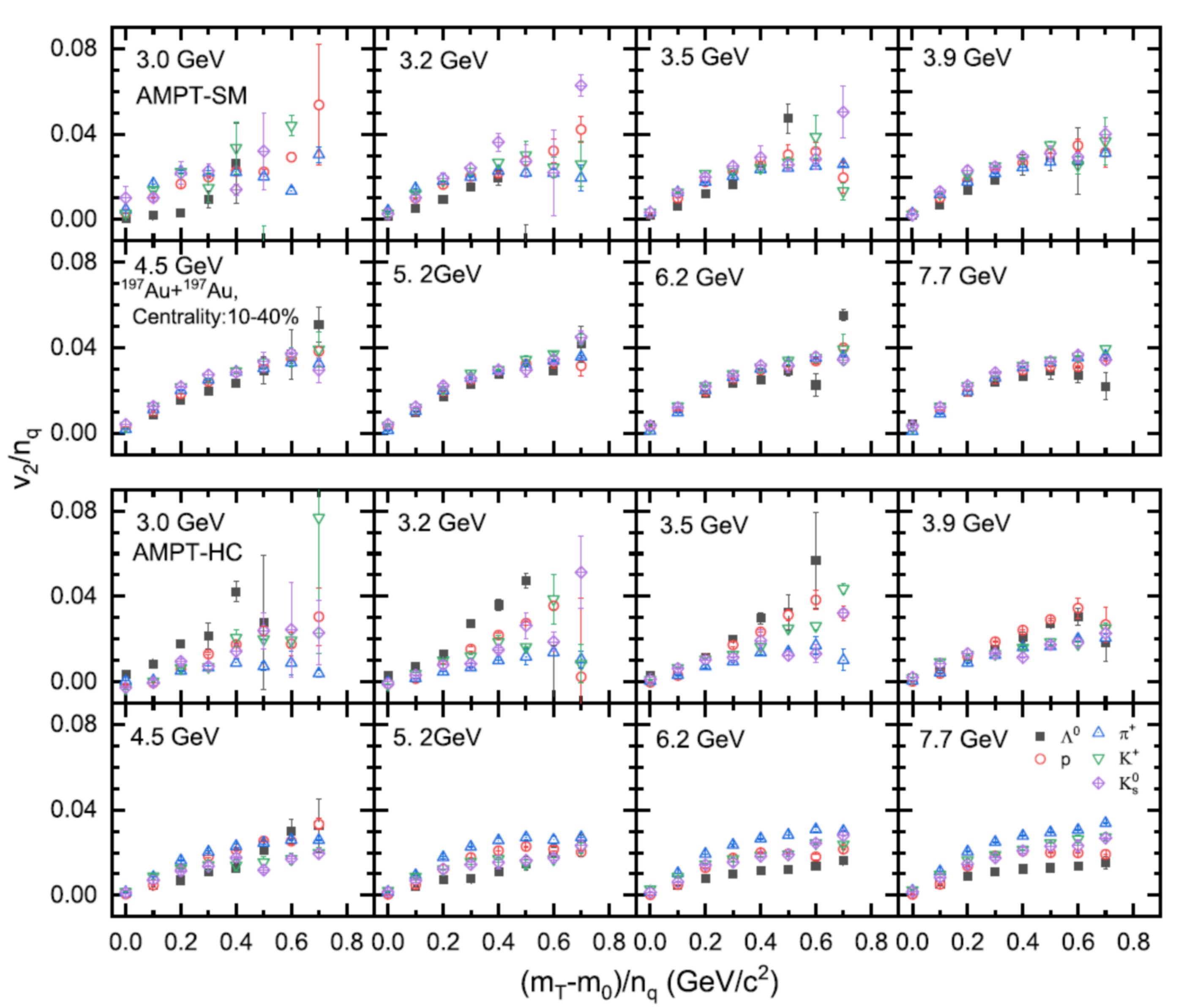
For years, number-of-constituent-quark (NCQ) scaling has been widely considered as a key evidence for QGP formation. However, a theoretical study published in Physics Letters B, led by researchers at the Institute of Modern Physics (IMP) of the Chinese Academy of Sciences (CAS), has revealed the failure of NCQ scaling in the low-energy region, casting doubt on the traditional understanding of this QGP probe.
Using an improved multiphase transport model, researchers systematically simulated gold nucleus collisions at the center-of-mass energies between 3.0–7.7 GeV. They found that NCQ scaling fails below 3.9 GeV, even when free quarks are produced in collisions. As the energy increases above 3.9 GeV, the scaling gradually recovers.
Further analysis revealed that the cause of this anomaly lies in dual dynamic constraints: insufficient thermalization of quarks prevents the full development of elliptic flow, while the extreme scarcity of strange quarks leads to statistical fluctuations in hadron yields.
"This finding questions the reliability of NCQ Scaling as a definitive criterion for identifying the QGP phase transition," said Prof. YONG Gaochan from IMP.
Additionally, the researchers simulated a pure hadronic scenario without free quarks. At a collision energy of 4.5 GeV, they observed a mass-ordering phenomenon: at the same kinetic velocity, lighter particles exhibit a stronger preference for collective flow than heavier particles.
This simulation demonstrates that fluid-like expansion effects can occur even without full thermal equilibrium, challenging the conventional view that mass ordering must originate from fully hydrodynamic behavior.
"This study not only reveals complex dynamic processes in the low-energy region, but also provides new perspectives for precisely detecting quark matter and the phase transition critical point at future large-scale scientific facilities," YONG added.
The study was supported by the National Natural Science Foundation of China and the CAS Project for Young Scientists in Basic Research.
DOI: https://doi.org/10.1016/j.physletb.2025.139752

Figure 1. Scaling of hadronic elliptic flow as a function of center-of-mass energy in heavy-ion collisions. The top (bottom) panels show scenarios with (without) QGP formation. (Image from IMP)
Contact Information
Institute of Modern Physics
Email: LIU Fang


甘公网安备 62010202000713号